Slijedna struktura
| Sitio: | CARNET Loomen LMS |
| Curso: | Algoritmi i programiranje 1. razred |
| Libro: | Slijedna struktura |
| Imprimido por: | Gost (anonimni korisnik) |
| Día: | Tuesday, 5 de May de 2026, 03:00 |
Descripción
--
1. Tipovi podataka
Da bismo na bilo koji način obrađivali podatke u programskom kodu ili dijagramom tijeka moram im odrediti tip, kako bi računalo znalo kako s njima postupati. Računalu je važno s kakvim podacima radi.
Razlikujemo:
- Cjelobrojne tipove podataka (int)
- Realne tipove podataka (obične (float) i dvostruke preciznosti (double))
- Znakovne tipove podataka (char i string)
- Logičke tipove podataka (bool)
- Korisnički definirane tipove (strukture (struct) i klase (class)))
- Konstante - vrijednosti im se ne mijenja (npr. g=9.81 m/s2 ili π = 3.14)
- Varijable – promjenjive su (često ih unosi korisnik tijekom izvođenja programa ili su među rezultat)
- Može sadržavati kombinaciju engleskih slova A-Z ili a-z, brojeva 0-9 i znaka za podcrtavanje _
- Prvi znak mora biti slovo ili _
- Ne smije se koristiti razmak pri imenovanju (možemo koristiti _ između riječi (ime_varijable) ili camel case (imeVarijable))
- Ne smiju biti jednaki ključnim riječima (naredbama) ili alternativnom oznakama operatora
2. Aritmetički operatori
Da bismo s brojčanim podacima radili bilo kakve aritmetičke operacije potrebno je poznavati aritmetičke operatore:

3. Slijedna struktura - aritmetičke operacije
1. primjer: Izračunati opseg i površinu pravokutnika na temelju podataka o duljini stranica u mm koje unese korisnik. Ispisati rješenje u obliku pseudojezika, dijagrama tijeka i programskog rješenja u C++-u.
2. primjer: Izračunati opseg i površinu kruga na temelju unosa duljine radijusa u mm. Ispisati rješenje u obliku pseudojezika, dijagrama tijeka i programskog rješenja u C++-u.
3. primjer: Izračun brzine gibanja na temelju unosa podataka o putu u km i vremenu u satima koje unosi korisnik. Ispisati rješenje u obliku pseudojezika, dijagrama tijeka i programskog rješenja u C++-u.
4. primjer: Ivan ima rođendan. Ana, Marko i Petar su sakupili svatko po x kuna, poklon košta cijena kuna, koliko novca je preostalo. Korisnik unosi x u kn i cijena u kn. Ispisati rješenje u obliku pseudojezika, dijagrama tijeka i programskog rješenja u C++-u.
4. Sekvencijalne naredbe - matematičke funkcije
http://www.cplusplus.com/reference/cmath/
- round() - zaokružuje na najbliži cijeli broj
- floor() - zaokružuje na prvi manji cijeli broj
- ceil() - zaokružuje na prvi veći cijeli broj
Za generiranje slučajnog broja možemo koristiti funkciju rand(). Za njenu primjenu nam osim same funkcije trebaju i dodatne biblioteke:
Programiranjem možemo rješavati mnoge probleme iz stvarnog života.

Možemo to pokušati pretvoriti u programski kod. Za koordinatni sustav u ravnini to je jednostavan problem.
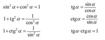
5. Sekvencijalne naredbe - trigonometrijske funkcije
Iz matematike nam je poznata trigonometrija šiljastog trokuta:
U biblioteci cmath nalaze se i trigonometrijske funkcije, npr. : sin(x) i asin(x), cos(x), acos(x), te tan(x) i atan(x)
6. Primjeri trigonometrijskih funkcija
1. primjer: Na temelju unosa duljina stranica izračunati kutove koje te stranice čine međusobno.
ulaz (a,b,c)
Alfa=asin(a/c)*180/3.14
Beta=asin(b/c)*10/3.14
Gama=180-Alfa-Beta
izlaz (Alfa, Beta, Gama)
Saznaj više na: https://www.geogebra.org/m/jqzuwkyt#material/mkgfj2xx
2. primjer: Izračunati sinus i kosinus kuta koji korisnik unese u stupnjevima.
ulaz (kutSt)
kutRad=kutSt*180/3.14
sinusKuta=sin(kutRad)
kosinusKuta=cos(kutRad)
izlaz (sinusKuta, kosinusKuta)