Osnovni pojmovi
| Sjedište: | CARNET Loomen LMS |
| E-kolegij: | Informatika 1 - Gimnazija Đakovo |
| Knjiga: | Osnovni pojmovi |
| Otisnuo/la: | Gost (anonimni korisnik) |
| Datum: | četvrtak, 22. siječnja 2026., 09:51 |
1. Osnovni pojmovi
Već vam je sigurno poznata činjenica kako namjenu računala određuje program koji se u tom trenutku na njemu izvršava. Zbog toga je razvoj programa jednako važan kao i razvoj računalnih komponenti.
Program je, u stvari, niz instrukcija (naredbi), koje (ako su poredane u ispravnom redoslijedu) daju određen rezultat.
Pisanjem programa bave se programeri, a pišu ih u odabranim programskim jezicima.
Važno je istaknuti da izrada programa nije jednostavna. Za pisanje programa nije potrebno samo znanje programskog jezika, već treba znati primijeniti ispavan ALGORITAM za njegovo rješavanje.
Sam pojam algoritma nije usko vezan uz informatiku niti uz programiranje. Odnosi se na razrađen postupak koji nakon konačnog broja koraka dovodi do rješenja (ili spoznaje da ono ne postoji).
Zanimljivosti...
Riječ algoritam dolazi od latinskog prijevoda imena arapskog matematičara Abu Abdullah Muhammad ibn Musa al-Khwarizmi-a koji se smatra ocem algebre jer je definirao osnovna pravila rješavanja linearnih i kvadratnih jednadžbi.
Prvi zapis algoritma prilagođen računalu pripada Adi Byron iz 1842 (pa se zbog ovoga smatra prvom programerkom), a računao je Bernoullijeve brojeve. Računalo za koje je napisan je bio analitički stroj, kojeg je zamislio, ali nikad u potpunosti proveo u djelo, Englez Charles Babbage. Analitički stroj je trebalo biti prvo programabilno računalo, sastavljeno u potpunosti od mehaničkih dijelova. Mehanički dijelovi i fizička glomaznost su glavni razlozi zašto nikad nije završen.
Izvor: hr.wikipedia.org/wiki/Algoritam
2. Načini zapisivanja algoritma
Svaki algoritam može biti prikazan grafički (dijagramom tijeka) ili u pseudo jeziku. Programer sam odlučuje koji oblik zapisivanja algoritma mu bolje odgovara. Za manje programe dovoljno je u par rečenica zapisati način na koji se dolazi do rješenja. Kod većih programa, možda je razumljiviji slikovni prikaz pojedinih dijelova programa. Algoritam napravljen u ovoj fazi postaje jedan od važnijih dijelova dokumentacije. U slučaju da program nakon nekog vremena treba doraditi, bez prikaza i opisa algoritma to bi bilo gotovo nemoguće.
2.1. Dijagram tijeka
Dijagram tijeka je grafički prikaz algoritma. Postoje simboli za osnovne naredbe koje se slažu prema potrebi kako bi opisale zamišljeni algoritam:
Prije sastavljanja programa izrađujemo grafički prikaz njegova tijeka koji će omogućiti lakše i brže sastavljanje programa.
Grafički prikaz tijeka izvođenja programa upućuje na radnje koje će se izvršavati u programu te na slijed tijeka programa. Sastavlja se i čita odozgo prema dolje, u smjeru poveznica, a ako je izvršena odluka, tada prema dolje ili udesno.
Tri su načina povezivanja simbola ovisno o zahtjevima programa:
a) SLIJED - niz naredbi koje se izvršavaju jedna za drugom;
b) ISPITIVANJE UVJETA (GRANANJE) - dio programa u kojemu na temelju odluke izvršavamo jedan ili drugi dio programa;
c) PETLJA - zatvoreni niz naredbi koje ponavljamo sve dok je zadovoljen postavljeni uvjet ponavljanja.
2.2. Prikaz algoritma u pseudojeziku
Možemo reći da je pseudo jezik (pseudokod) opis algoritma. To je prijelazni oblik između govornog i programskog jezika, a sadrži samo instrukcije u ispravnom redoslijedu. Lako je razumljiv i vrlo se jednostavno može prevesti u bilo koji programski jezik.
2.3. Aritmetički operatori
Primjer:
Matematički izraz
Za razliku od matematike, u programiranju koristimo dva dodatna operatora: cjelobrojno dijeljenje i
ostatak cjelobrojnog dijeljenja. Radi se o dijeljenju koje ste učili u osnovnoj školi, kada još niste znali da postoje realni brojevi.
Podsjetimo se!
22:7=3 i ostatak 1
34:4=28 i ostatak 6
U Pythonu to zapisujemo ovako:
22 // 7 = 3, a 22 % 7 = 1;
34 // 4 = 28 i 34 % 4 = 6.
U C/C++ jeziku operator cjelobrojnog dijeljenje jednak je operatoru dijeljenja (/), dok je operator ostatka cjelobrojnog dijeljenja jednak kao u Pythonu (%)
Zadatak:
Izračunajte vrijednost sljedećih izraza zapisanih u Pythonu i C-u:
|
|
Python
|
C/C++
|
|---|---|---|
| 1. | 37 // 4 | 37/4 |
| 2. | 43 % 5 | 43 % 5 |
| 3. | 76 // 12 | 76 / 12 |
| 4. | 45 % 9 | 45 % 9 |
Kao i u matematici, najviši prioritet imaju zagrade. Nakon zagrada operatori *, /, // i %, a tek na kraju operatori + i -.
Prikazano u tablici to izgleda ovako:
| Prioritet | Operatori |
|---|---|
| 1. | () |
| 2. | *, /, //,% |
| 3. | +, - |
Primjer:
Potrebno je izračunati vrijednost izraza zapisanog u Pythonu: 13 // 4 + 31 % 7, odnosno 13 / 4 + 31 % 7 u C-u.
Sada znamo da se najprije računaju operacije cijelobrojnog dijeljenja i ostatka pri cijelobrojnom dijeljenju.
Tako je: 13 // 4 = 3; 31 % 7 = 3
Na dobivene rezultate primijenimo operator zbrajanja => 3 + 3 = 6.
Rezultat traženog izraza je 6.
Zadatak:
Izračunajte vrijednosti izraza:
|
|
Python | C/C++ |
|---|---|---|
| 1. | 15 // 3 + 20 % 5
|
15 / 3 + 20 % 5
|
| 2. | 17 // 3 * 7 % 3
|
17 / 3 * 7 % 3
|
| 3. | 17 // 5 % 3
|
17 / 5 % 3
|
| 4. | 4 + 4 * 7 // 3 % 7
|
4 + 4 * 7 / 3 % 7
|
| 5. |
13*4 + 12 % 5 - 43 // 2 % 6 |
13*4 + 12 % 5 - 43 / 2 % 6 |
2.4. Relacijski operatori
Relacijski izraz je izraz u kojem se uspoređuju vrijednosti s lijeve i desne strane. Između vrijednosti koje se uspoređuju stoje relacijski operatori.
| Operacija uspoređivanja | Operator |
Python
|
C/C++
|
|---|---|---|---|
| Jednako | = | == | ==
|
| Manje od | < | < | < |
| Manje ili jednako | <= | <= | <= |
| Veće od | > | > | > |
| Veće ili jednako | >= | >= | >= |
| Različito | <>
|
!=
|
!= |
Primjeri relacijskih izraza:
- x < y
- a <> b
- z > 0
- a + b < c
- a % 2 == 0
U četvrtom i petom primjeru nalaze se kombinirani izrazi (aritmetički i relacijski). U takvim situacijama najprije se izračunaju aritmetički izrazi, a nakon toga usporede dobivene vrijednosti.
To znači da relacijski operatori imaju najmanji prioritet!
Na primjer, u izrazu 3+5=6-4, najprije će se izračunati vrijednosti s lijeve i desne strane znaka jednakosti (8 i 2), a nakon toga će se ispitati jesu li dobivene vrijednosti jednake!
Sada možete uočiti zbog čega je potrebna razlika između naredbe pridruživanja (=) i ispitivanja jednakosti (==). Kada ih različito zapisujemo, teže će doći do zabune u zapisu samog algoritma!
Kakvi su rezultati relacijskih izraza?
Kada uspoređujemo dvije vrijednosti, rezultat može biti LAŽ (0) ili ISTINA (1).
2.5. Logički operatori i prioriteti izvršavanja
Ako je potrebno usporediti više vrijednosti, primjerice provjeriti je li uneseni broj troznamenkast, u matematici to zapisujemo ovako: 99<a<1000.
U programiranju uglavnom ne možemo na taj način zapisivati relacijske izraze. Moramo provjeriti je li a>99 te je li a<1000.
U tu se svrhu koristimo logičkim operatorima I, ILI i NE.
Primjeri logičkih izraza u Pythonu:
- (a<1000) and (a>99)
- A and B or not C
- (a+b<c) and c>0
Primjeri logičkih izraza uC-u:
- (a<1000) && (a>99)
- A && B || !C
- (a+b<c) && c>0
Najveći prioritet ima logička operacija NE, zatim I te na kraju ILI.
Primjer:
Koja je vrijednost logičkog izraza A I B ILI NE C ako su zadane sljedeće vrijednosti varijabli?
A = istina, B = neistina, C = neistina
A I B => istina I neistina = neistina
NE C => NE neistina = istina
A I B ILI NE C => neistina ILI istina = istina
2.6. Definirane funkcije
Za računanje složenijih izraza potrebne su nam i standardne matematičke funkcije. Na primjer, drugi korijen, kvadrat realnog broja i sl.
U tablici su prikazane definirane funkcije u Pythonu i C-u. Tablica je preuzeta iz ispitnoga kataloga.
Primjer
Matematički izraz
u C-u zapisujemo: sqrt (pow (x, 2 )+pow (y, 2 )) / abs( x );
a u Pythonu: (x**2+y**2)**0.5/abs( x )
Zadatak
Kolika je vrijednost izraza:
c: sqrt((pow(12,2) + pow(9, 2))/abs(-5)?
Python: ((12**2 + 9**2)**0.5)/abs(-5)
Primjer
Vrijednost izraza
C: round(4.56) + trunc(4.56)
Python: round(4.56) + int (4.56)
je 9
Zbog čega?
Funkcija round zaokružuje broj 4.56 na 5, dok je trunc (int) funkcija koja odbacuje realan dio zadanog broja. U našem slučaju to je 4.
Na kraju zbrojimo 5 + 4 i dobijemo 9!
3. Zadatci s provedenih ispita
| Python | C/C++ |
|---|---|
|
x = (a**0.5 – b**0.5)**2 / a * b
|
x = pow((sqrt(a) – sqrt(b),2) / a * b;
|
| Python | C/C++ |
|---|---|
|
a = 35 // 5 % 2 + 19 % 5
|
a = 35 / 5 % 2 + 19 % 5;
|
B. 1
C. 4
D. 5
| Python | C/C++ |
|---|---|
| A. z = x**2
B. z = round (x**2) C. z = int (x**2) D. z = (x**2)**0.5 |
A. z = pow(x,2);
B. z = round (pow(x,2)); C. z = trunc (pow(x,2)); D. z = sqrt (pow(x,2)); |
| Python | C/C++ |
|---|---|
|
x = 155 % 100 // 5 % 6 // 2
|
x = 155 % 100 / 5 % 6 / 2;
|
A. 0
B. 1
C. 2
D. 5
| Python | C/C++ |
|---|---|
|
(a > b) or not(b > c) and (c > a)
|
(a > b) || !(b > c) && (c > a)
|
A. asembler
B. pseudojezik
C. strojni jezik
D. viši simbolički jezik
| Python | C/C++ |
|---|---|
|
a = round(35**0.5) – int(35**0.5)
|
a = round(sqrt(35)) – trunc(sqrt(35));
|
A. 0
B. 1
C. 35
D. 70
Koji će oblik imati taj izraz zapisan u navedenim programskim jezicima?
| Python | C/C++ |
|---|---|
|
A. y = abs (x)**2 / x**0.5
B. y = x**0.5 / x**2 C. y = abs (x)**0.5 / x**2 D. y = x**2 / x**0.5 |
A. y = pow (abs (x), 2) / sqrt (x);
B. y = sqrt (x) / pow (x,2); C. y = sqrt (abs (x)) / pow (x, 2); D. y = pow (x, 2) / sqrt (x); |
| Python | C/C++ |
|---|---|
|
y = abs (x)**0.5 / x**2
|
y = sqrt (abs (x)) / pow(x, 2);
|
B.
C.
D.
| Python | C/C++ |
|---|---|
|
a = round(35**0.5) * int(35**0.5)
|
a = round(sqrt (35)) * trunc(sqrt (35));
|
B. 1
C. 30
D. 70
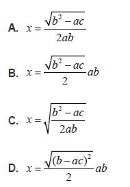
| Python | C/C++ |
|---|---|
|
x = (b**2-a*c)**0.5/2*a*b
|
x = sqrt(pow(b,2)- a*c)/2*a*b;
|
A = istina
B = istina
C = istina
| Python | C/C++ |
|---|---|
|
not A or not B and not C
|
! A || ! B && ! C
|
| Python | C/C++ |
|---|---|
|
A. d = r-int(r)
B. d = r-round(r) C. d = round(r)//int(r) D. d = round(r) % int(r) |
A. d = r-trunc(r);
B. d = r-round(r); C. d = round(r) / trunc(r); D. d = round(r) % trunc(r); |
14. (2012, jesenski rok, zadatak 29) Koja je vrijednost logičkoga izraza zapisanog u tablici ako su zadane sljedeće vrijednosti varijabli?
A = laž
B = laž
C = istina
| Python | C/C++ |
|---|---|
|
A and not B or not C
|
A && ! B || ! C
|
| Python | C/C++ |
|---|---|
|
A. (y // 400 == 0) or (y // 4 == 0) and (y // 100 == 0)
B. (y %4 == 0) and (y % 100 == 0) or (y % 100 <> 0) C. (y // 400 == 0) or (y // 4 == 0) and (y // 100 <> 0) D. (y % 4 == 0) and (y % 100 <> 0) or (y % 400 == 0) |
A. (y / 400 == 0) || (y / 4 == 0) && (y / 100 == 0)
B. (y % 4 == 0) && (y % 100 == 0) || (y % 100 <> 0) C. (y / 400 == 0) || (y / 4 == 0) && (y / 100 <> 0) D. (y % 4 == 0) && (y % 100 <> 0) || (y % 400 == 0) |
| Python | C/C++ |
|---|---|
|
A. (x >= 0) or (x <= 1) and (x <= 20) or (x >= 10)
B. (x <= 0) or (x >= 1) and (x >= 20) or(x <= 10) C. (x <= 0) and (x >= 1) or (x >= 20) and (x <= 10) D. (x >= 0) and (x <= 1) or (x <= 20) and (x >= 10) |
A. (x >= 0) || (x <= 1) && (x <= 20) || (x >= 10)
B. (x <= 0) || (x >= 1) && (x >= 20) || (x <= 10) C. (x <= 0) && (x >= 1) || (x >= 20) && (x <= 10) D. (x >= 0) && (x <= 1) || (x <= 20) && (x >= 10) |
| Python | C/C++ |
|---|---|
| (a > b) or not(b < c) and (c < a)
|
(a > b) || !(b < c) && (c < a)
|
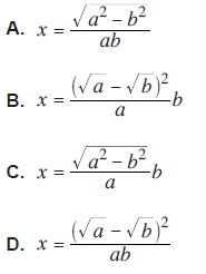
| Python | C/C++ |
|---|---|
| A. x = a – (a * b)**2 / a * b**0.5
B. x = a – (a * b)**0.5 / a * b**2 C. x = (a – (a * b)**2) / (a * b**0.5) D. x = (a – (a * b)**0.5) / (a * b**2) |
A. x = a – pow(a * b, 2) / a * sqrt(b);
B. x = a – sqrt(a * b) / a * pow(b, 2); C. x = (a – pow(a * b, 2)) / (a * sqrt(b)); D. x = (a – sqrt(a * b)) / (a * pow(b, 2)); |
| Python | C/C++ |
|---|---|
| A. (a > 0) and (a % 2 == 0) and (a % 3 != 0)
B. (a // 2 == 0) and (a // 3 == 0) or(a > 0) C. (a // 3 != 0) or (a // 2 == 0) or (a > 0) D. (a % 3 != 0) or (a % 2 == 0) or (a >= 0) |
A. (a > 0) && (a % 2 == 0) && (a % 3 != 0)
B. (a / 2 == 0) && (a / 3 == 0) || (a > 0) C. (a / 3 != 0) || (a / 2 == 0) || (a > 0) D. (a % 3 != 0) ||(a % 2 == 0) || (a >= 0) |
| Python | C/C++ |
|---|---|
| (round(A / B) == A // B) and (int(A / B) == A %
B)
|
(round((float)A / B) == A / B) && (trunc((float)A / B) == A %
B)
|
| Python | C/C++ |
|---|---|
| A. y = (r**2) – (x - p)**2)**0.5 + q
B. y = (r**2 – (x - p)**2 + q)**0.5 C. y = (r**0.5 – (x - p)**0.5)**2 + q D. y = (r**0.5 – (x - p)**0.5 + q)**2 |
A. y = sqrt(pow(r, 2) – pow(x - p, 2)) + q;
B. y = sqrt(pow(r, 2) – pow(x - p, 2) + q); C. y = pow(sqrt(r) – sqrt(x - p), 2) + q; D. y = pow(sqrt(r) – sqrt(x - p) + q, 2); |
| Python | C/C++ |
|---|---|
| A. (a < 0) or (a >= 10) and (a <= 20)
B. ((a < 0) or (a >= 10)) and (a <= 20) C. (a < 0) and ((a >= 10) or (a <= 20)) D. (a < 0) or (a >= 10) or (a <= 20) |
A. (a < 0) || (a >= 10) && (a <= 20)
B. ((a < 0) ||(a >= 10)) && (a <= 20) C. (a < 0) && ((a >= 10) || (a <= 20)) D. (a < 0) || (a >= 10) || (a <= 20) |
| Python | C/C++ |
|---|---|
| (A + B < C) or not(C**0.5 > A) and (B**2 != C)
|
(A + B < C) || !(sqrt(C) > A) && (pow(B, 2) <> C)
|
| Python | C/C++ |
|---|---|
| A. (a > b) and (a < c) or (a < b) and (a > c)
B. ((a > b) or (a < c)) or ((a < b) or (a > c)) C. (a > b) and (a > c) or (a < b) and (a < c) D. ((a > b) and (a < c)) and ((a < b) and (a > c)) |
A. (a > b) && (a < c) || (a < b) && (a > c)
B. ((a > b) || (a < c)) || ((a < b) || (a > c)) C. (a > b) && (a > c) || (a < b) && (a < c) D. ((a > b) && (a < c)) && ((a < b) && (a > c)) |
| Python | C/C++ |
|---|---|
| A. (x //6 == 0) or (x // 7 == 0) or (x // 27 != 0)
B. (x // 6 == 0) and (x // 7 == 0) and (x // 27 != 0) C. (x % 6 == 0) and (x % 7 == 0) or (x % 27 != 0) D. (x % 6 == 0) and (x % 7 == 0) and (x % 27 != 0) |
A. (x / 6 == 0) || (x / 7 == 0) || (x / 27 != 0)
B. (x / 6 == 0) && (x / 7 == 0) && (x / 27 != 0) C. (x % 6 == 0) && (x % 7 == 0) || (x % 27 != 0) D. (x % 6 == 0) && (x % 7 == 0) && (x % 27 != 0) |
| Python | C/C++ |
|---|---|
| A. y = (x - abs(x + 2)**0.5)**2 / (4 * x)
B. y = (x - abs(x + 2)**0.5)**2 / 4 * x C. y = (x - (abs(x + 2)**0.5)**2) / (4 * x) D. y = x - sqr(abs(x + 2)**0.5)**2 / (4 * x) |
A. y = pow(x - sqrt(abs(x + 2)), 2) / (4 * x);
B. y = pow(x - sqrt(abs(x + 2)), 2) / 4 * x; C. y = (x - pow(sqrt(abs(x + 2)), 2)) / (4 * x); D. y = x - pow(sqrt(abs(x + 2)), 2) / (4 * x); |
| Python | C/C++ |
|---|---|
| A. y = abs(x**2 – a * (b + c))**0.5
B. y = abs(x**0.5 – a * (b + c))**2 C. y = abs((x**2 – a * (b + c))**0.5) D. y = (abs(x**2) – a * (b + c))**0.5 |
A. y = sqrt(abs(pow(x, 2) – a * (b + c)));
B. y = pow(abs(sqrt(x) – a * (b + c)), 2); C. y = abs(sqrt(pow(x, 2) – a * (b + c))); D. y = sqrt(abs(pow(x, 2)) – a * (b + c)); |
| Python | C/C++ |
|---|---|
| A. a > 0 and a < 10 or a % 9 == 0
B. a > 0 or a < 10 and I a % 9 == 0 C. a > 0 or a < 10 or a % 9 == 0 D. a > 0 and a < 10 and a % 9 == 0 |
A. a > 0 && a < 10 || a % 9 == 0
B. a > 0 || a < 10 && a % 9 == 0 C. a > 0 || a < 10 || a % 9 == 0 D. a > 0 && a < 10 && a % 9 == 0 |
| Python | C/C++ |
|---|---|
| a + b > c and a + c > b and b + c > a
|
a + b > c && a + c > b && b + c > a
|
| Python | C/C++ |
|---|---|
| A. y = (a**2 + (b**2)**2)**0.5 + c
B. y = (a**0.5 + (b**0.5)**0.5)**2 + c C. y = (a**2 + (b**2)**2) + c)**0.5 D. y = (a**2 + (b**0.5 + c)**2)**2 |
A. y = sqrt(pow(a, 2) + pow(pow(b, 2), 2)) + c;
B. y = pow(sqrt(a) + sqrt(sqrt(b))) + c; C. y = sqrt(pow(a, 2) + pow(pow(b, 2), 2) + c); D. y = pow(pow(a, 2) + pow(sqrt(b) + c, 2); |
| Python | C/C++ |
|---|---|
| A. a > 0 or a < 10 or a % 5 == 2 and a % 2 == 1
B. a > 0 and a < 10 and a % 5 == 2 and a % 2 == 1 C. a > 0 and a < 10 or a % 7 == 0 D. a > 0 or a < 10 and a % 7 == 0 |
A. a > 0 || a < 10 || a % 5 == 2 && a % 2 == 1;
B. a > 0 && a < 10 && a % 5 == 2 && a % 2 == 1; C. a > 0 && a < 10 || a % 7 == 0; D. a > 0 || a < 10 && a % 7 == 0; |
| Python | C/C++ |
|---|---|
| (a + b) / 2 == (a * b)**0.5 or b == 1 and a ==1
|
(float)(a + b) / 2 == sqrt(a * b) || b == 1 && a == 1 |
33. (2017., ljetni rok, zadatak 15) Koja od navedenih tvrdnji opisuje izraz
| Python | C/C++ |
|---|---|
| (t % 5 == 0) and (t % 2 == 0) and (t // 10 == 3)
|
(t % 5 == 0) && (t % 2 == 0) && (t / 10 == 3)
|
| Python | C/C++ |
|---|---|
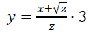
| y = (x + z**0.5) / z * 3 |
y = (x + sqrt(z)) / z * 3; |
| Python | C/C++ |
|---|---|
| (t // 100 == 2) and (t % 100 == 0) or (t == 1000)
|
(t / 100 == 2) && (t % 100 == 0) || (t == 1000)
|
| Python | C/C++ |
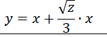
|---|---|
| y = x + z**0.5 / 3 * x |
y = x + sqrt(z) / 3 * x; |
| Python | C/C++ |
|---|---|
| c = (a + b) + (a - b)**0.5 / (2 * a + b)
|
c = (a + b) + sqrt(a - b)/(2 * a + b);
|

| Python | C/C++ |
|---|---|
| (x > 2) and (x > 5) and (x < 10) and (x > 0) |
(x > 2) && (x > 5) && (x < 10) && (x > 0) |
| Python | C/C++ |
|---|---|
| g = ((e + f)**0.5 * (e - f) / (e + f))**0.5 |
g = sqrt(sqrt(e + f) * (e - f) / (e + f)); |

| Python | C/C++ |
|---|---|
| (x > 10) and (x > 5) or (x > 2) or (x > 7) |
(x > 10) && (x > 5) || (x > 2) || (x > 7) |
?| Python | C/C++ |
|---|---|
| A. y = (a + b * x + y)**2 / abs(a + b + x + y) B. y = (a + b + x + y)**2 / abs(a + b) + abs(x + y) C. y = (a + b + x + y)**2 / (abs(a + b) + abs(x + y)) D. y = (a + b * x + y)**2 / (abs(a + b) + abs(x + y)) |
A. y = pow(a + b * x + y, 2) / abs(a + b + x + y); B. y = pow(a + b + x + y, 2) / abs(a + b) + abs(x + y) C. y = pow(a + b + x + y, 2) / (abs(a + b) + abs(x + y)) D. y = pow(a + b * x + y, 2) / (abs(a + b) + abs(x + y)) |
| Python | C/C++ |
|---|---|
| A. h == 20 or h == 21 and m >= 5 or m <= 20 B. h == 20 and m >= 5 and h ==21 and m <=20 C. h * 60 + m >= 20 * 60 + 5 and h * 60 + 3 <= 21 * 60 + 20 D. h * 60 + m >= 20 * 60 + 5 or h * 60 + m <= 21 * 60 + 20 |
A. h == 20 || h == 21 && m >= 5 || m <= 20 B. h == 20 && m >= 5 && h ==21 && m <=20 C. h * 60 + m >= 20 * 60 + 5 && h * 60 + 3 <= 21 * 60 + 20 D. h * 60 + m >= 20 * 60 + 5 || r h * 60 + m <= 21 * 60 + 20 |
| Python | C/C++ |
|---|---|
| (a // 10 > 0 or b // 10 > 0) and (a % 10 > 0 or b % 10 > 0) |
(a / 10 > 0 || b / 10 > 0) && (a % 10 > 0 || b % 10 > 0) |
44. (2019., jesenski rok, zadatak 15) Koja programska naredba može zamijeniti zadani matematički izraz
| Python | C/C++ |
|---|---|
| A. d = ((x2 - x1)**2 + (y2 – y1)**2)**0.5 B. d = ((x2 - x1)**0.5 + (y2 – y1)**0.5)**2 C. d = ((x2 - x1)**2)**0.5 + ((y2 – y1)**2)**0.5 D. d = ((x2 - x1)**0.5)**2 + ((y2 – y1)**0.5)**2 |
A. d = sqrt(pow(x2 - x1, 2) + pow(y2 – y1, 2)); B. d = pow(sqrt(x2 - x1) + sqrt(y2 – y1), 2); C. d = sqrt(pow(x2 - x1, 2)) + sqrt(pow(y2 – y1, 2)); D. d = pow(sqrt(x2 - x1), 2) + pow(sqrt(y2 – y1), 2); |
| Python | C/C++ |
|---|---|
| A. a % 1000 >= 1000 and a < 10000 and a // 3 == 0 B. a // 1000 < 10 and a // 1000 > 0 and a // 3 == 0 C. a >= 1000 and a % 1000 < 1000 and a % 3 == 0 D. a // 1000 > 0 and a < 10000 and a % 3 == 0 |
A. a % 1000 >= 1000 && a < 10000 && a / 3 == 0 B. a / 1000 < 10 && a / 1000 > 0 && a / 3 == 0 C. a >= 1000 && a % 1000 < 1000 && a % 3 == 0 D. a / 1000 > 0 && a < 10000 && a % 3 == 0 |
| Python | C/C++ |
|---|---|
| (a + b) / 2 > c or (a + c) / 2 > b or (b + c) / 2 > a |
(a + b) / 2 > c || (a + c) / 2 > b || (b + c) / 2 > a |
?| Python | C/C++ |
|---|---|
| A. x = (a + b) / (a - b) + 2 / a * b B. x = (a + b) / a – b + 2 / a * b C. x = (a + b) / a – b + 2 / (a * b) D. x = (a + b) / (a - b) + 2 / (a * b) |
A. x = (a + b) / (a - b) + 2 / a * b; B. x = (a + b) / a – b + 2 / a * b; C. x = (a + b) / a – b + 2 / (a * b); D. x = (a + b) / (a - b) + 2 / (a * b); |
?| Python | C/C++ |
|---|---|
| A. x = a / (b + a) – b + 2 / a * b B. x = a / b + a - b + 2 / a * b C. x = a / (b + a) – b + 2 / (a * b) D. x = a / b + a – b + 2 / (a * b) |
A. x = a / (b + a) – b + 2 / a * b; B. x = a / b + a - b + 2 / a * b; C. x = a / (b + a) – b + 2 / (a * b); D. x = a / b + a – b + 2 / (a * b); |
| Python | C/C++ |
|---|---|
| z = ((x + y)**0.5 * (x - y))**0.5 / (x + y) |
z = sqrt(sqrt(x + y) * (x - y)) / (x + y); |

| Python | C/C++ |
|---|---|
| (x > 3) or (x < 10) and (x < 13) and (x > 7) |
(x > 3) || (x < 10) && (x < 13) && (x > 7) |
| Python | C/C++ |
|---|---|
| c = ((a + b) * (a - b))**0.5 / a + b |
c = sqrt((a + b) * (a - b)) / a + b; |

| Python | C/C++ |
|---|---|
| (x > 0) and (x < 7) or (x > 2) and (x < 10) |
(x > 0) && (x < 7) || (x > 2) && (x < 10) |
3.1. Rješenja
- B
- D
- C
- C
- 1 (istina)
- C
- B
- C
- D
- C
- B
- 0 (laž)
- A
- 0 (laž)
- D
- D
- 0 (laž)
- D
- A
- 1 (istina)
- A
- A
- 0 (laž)
- A
- D
- A
- A
- D
- 0 (laž)
- A
- B
- 0 (laž)
- A

- C

- B
- D
- A
- A
- D
- C
- 1 (istina)
- A
- D
- 1 (istina)
- A
- A
- B
- A
- C
- B