Preskoči na sadržaj
http://www.carnet.hr
loomen@carnet.hr
Korisničko ime
Lozinka
Prijava
Loomen
Loomen je dostupan samo za pregledavanje, onemogućene su izmjene u tečajevima. Tečajevi se migriraju na novi sustav.
Hrvatski (hr)
Deutsch (de)
English (en)
Español - España (es_es)
Español - Internacional (es)
Hrvatski (hr)
Italiano (it)
Українська (uk)
Pretraži e-kolegije
Predaj
Nejednadžbe s apsolutnim vrijednostima
Pogledajte video:
Domaća zadaća
:
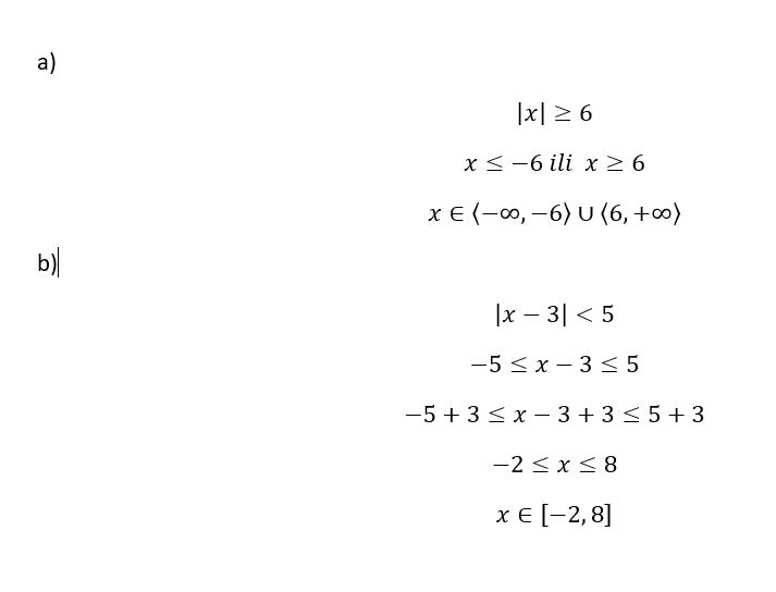
Riješite zadatke a i c od prvog i drugog zadatka sa slike:
Zadnji puta izmijenjeno: ponedjeljak, 16. ožujka 2020., 17:00
◄ Jednadžbe s apsolutnim vrijednostima
Prikaži...
Prikaži...
Obavijesti
Forum - pitanja i dogovori
1.1. Potencije s racionalnim eksponentom
1. domaća zadaća
1. 2. Eksponencijalna funkcija
2. domaća zadaća
1.3. Eksponencijalne jednadžbe i nejednadžbe
Priprava za 1. pisanu provjeru
Logaritamske jednadžbe
1. domaća zadaća u online nastavi (3.a i 3.b)
2. domaća zadaća u online nastavi (3.a, 3. b. i 3. c)
Priprava za 2. pisanu provjeru znanja
Primjena logaritamske i eksponencijalne funkcije
Kut. Brojevna kružnica
Priprava za treću provjeru znanja
Osnovne trigonometrijske jednadžbe i trigonometrijske jednadžbe koje se svode na osnovne
1.domaća zadaća u online nastavi 2022.
Trigonometrijske jednadžbe koje se svode na kvadratne i Homogene trigonometrijske jednadžbe
Primjena trigonometrijskih funkcija
2. domaća zadaća u online nastavi 2022.
Primjena trigonometrije s rješenjima
Zadaci za pripremu polugodišnje provjere - 4. pisana provjera matematička komunikacija
Zadaci za pripravu 4. pisane provjere - Rješavanje problema
Drugi korijen i imaginarni brojevi
1. domaća zadaća - Drugi korijen i imaginarni brojevi
Anketa o nastavničkoj interakciji
Računanje s drugim i trećim korijenom
2. domaća zadaća - Računanje s drugim i trećim korijenom
Djelomično korjenovanje, uvođenje pod znak korijena i racionalizacija nazivnika
Kvadratna jednadžba - nepotpuni oblici
Kvadratna jednadžba - nepotpuni oblici 1.dio - VIDEO LEKCIJA
Kvadratna jednadžba nepotpuni oblici 2. dio VIDEO LEKCIJA
3. domaća zadaća
Formula za rješavanje kvadratne jednadžbe
4. domaća zadaća
Diskriminanta kvadratne jednadžbe
Diskriminanta kvadratne jednadžbe - VIDEO LEKCIJA
Vieteove formule
Faktorizacija kvadratnog trinoma
5. domaća zadaća
Iracionalne jednadžbe, bikvadratne jednadžbe, jednadžbe višeg stupnja
6. domaća zadaća
Sustav linearne i kvadratne jednadžbe i primjena
7. domaća zadaća
Ponavljanje gradiva za 1. pisanu provjeru znanja
Priprava za 1. pisanu provjeru znanja
Rješenje zadataka iz priprave za 1. pisanu provjeru
Drugi korijen i imaginarni brojevi
1. domaća zadaća - Drugi korijen i imaginarni brojevi
Anketa o nastavničkoj interakciji
Računanje s drugim i trećim korijenom
2. domaća zadaća - Računanje s drugim i trećim korijenom
Djelomično korjenovanje, uvođenje pod znak korijena i racionalizacija nazivnika
Kvadratna jednadžba - nepotpuni oblici
Kvadratna jednadžba - nepotpuni oblici 1.dio - VIDEO LEKCIJA
Kvadratna jednadžba nepotpuni oblici 2. dio VIDEO LEKCIJA
3. domaća zadaća
Formula za rješavanje kvadratne jednadžbe
4. domaća zadaća
Diskriminanta kvadratne jednadžbe
Diskriminanta kvadratne jednadžbe - VIDEO LEKCIJA
Vieteove formule
Faktorizacija kvadratnog trinoma
5. domaća zadaća
Iracionalne jednadžbe, bikvadratne jednadžbe, jednadžbe višeg stupnja
6. domaća zadaća
Sustav linearne i kvadratne jednadžbe i primjena
7. domaća zadaća
Ponavljanje gradiva za 1. pisanu provjeru znanja
Priprava za 1. pisanu provjeru znanja
Rješenje zadataka iz priprave za 1. pisanu provjeru
Kvadratna funkcija - uvod
Kvadratna funkcija - video lekcija
1. domaća zadaća - Kvadratna funkcija
Translacija grafa kvadratne funkcije
Trasnlacija grafa kvadratne funkcije - video lekcija 1. dio
Translacija grafa kvadratne funkcije - video lekcija 2. dio
2. domaća zadaća Kvadratna funkcija
Graf kvadratne funkcije f(x)=ax^2+bx+c
Video lekcija - graf kvadratne funkcije f(x)=ax^2+bx+c
Rješenja zadataka sa sata iz prezentacije f(x)=ax^2+bx+c
3. domaća zadaća Kvadratna funkcija
Nultočke kvadratne funkcije
Video lekcija - nultočke kvadratne funkcije
Rješenja zadataka iz prezentacije Nultočke kvadratne funkcije
4. domaća zadaća Kvadratna funkcija
Ekstremi i tijek kvadratne funkcije
Rješenja zadataka iz prezentacije Ekstremi i tijek kvadratne funkcije
Video lekcija - tjeme slika i tijek kvadratne funkcije
Naknadno poslane zadaće
5. domaća zadaća - Kvadratna funkcija
Priprava za 2. pisanu provjeru znanja
Pravac i parabola
Zadaci sa sata pravac i parabola
Kvadratne nejednadžbe
Video lekcija - Kvadratne nejednadžbe 1. dio
Video lekcija - kvadratne nejednadžbe 2. dio
Zadaci sa sata kvadratne nejednadžbe
6. domaća zadaća - Kvadratna funkcija
Primjena kvadratne funkcije
7. domaća zadaća - Kvadratna funkcija
Probni test kvadratna funkcija - rješavanje problema
Priprava za pismeni Kvadratna jednadžba - s rješenjima
Polinomi, racionalne i iracionalne funkcije
8. domaća zadaća - Kvadratna funkcija
Bijekcija, inverzna funkcija, grafički prikaz funkcije
9. domaća zadaća - Kvadratna funkcija
Kvadratna funkcija - uvod
Kvadratna funkcija - video lekcija
1. domaća zadaća - Kvadratna funkcija
Translacija grafa kvadratne funkcije
Trasnlacija grafa kvadratne funkcije - video lekcija 1. dio
Translacija grafa kvadratne funkcije - video lekcija 2. dio
2. domaća zadaća Kvadratna funkcija
Graf kvadratne funkcije f(x)=ax^2+bx+c
Video lekcija - graf kvadratne funkcije f(x)=ax^2+bx+c
Rješenja zadataka sa sata iz prezentacije f(x)=ax^2+bx+c
3. domaća zadaća Kvadratna funkcija
Nultočke kvadratne funkcije
Video lekcija - nultočke kvadratne funkcije
Rješenja zadataka iz prezentacije Nultočke kvadratne funkcije
4. domaća zadaća Kvadratna funkcija
Ekstremi i tijek kvadratne funkcije
Rješenja zadataka iz prezentacije Ekstremi i tijek kvadratne funkcije
Video lekcija - tjeme slika i tijek kvadratne funkcije
Naknadno poslane zadaće
5. domaća zadaća - Kvadratna funkcija
Priprava za 2. pisanu provjeru znanja
Pravac i parabola
Zadaci sa sata pravac i parabola
Kvadratne nejednadžbe
Video lekcija - Kvadratne nejednadžbe 1. dio
Video lekcija - kvadratne nejednadžbe 2. dio
Zadaci sa sata kvadratne nejednadžbe
6. domaća zadaća - Kvadratna funkcija
Primjena kvadratne funkcije
7. domaća zadaća - Kvadratna funkcija
Probni test kvadratna funkcija - rješavanje problema
Priprava za pismeni Kvadratna jednadžba - s rješenjima
Polinomi, racionalne i iracionalne funkcije
8. domaća zadaća - Kvadratna funkcija
Bijekcija, inverzna funkcija, grafički prikaz funkcije
9. domaća zadaća - Kvadratna funkcija
Kružnica i krug
1. domaća zadaća - Planimetrija
Poučak o sinusima
2. domaća zadaća - Planimetrija
Poučak o kosinusu
3. domaća zadaća - Planimetrija
Primjena trigonometrije
Priprava za 4. pisanu provjeru
Formule
Kružnica i krug
1. domaća zadaća - Planimetrija
Poučak o sinusima
2. domaća zadaća - Planimetrija
Poučak o kosinusu
3. domaća zadaća - Planimetrija
Primjena trigonometrije
Priprava za 4. pisanu provjeru
Formule
Poliedri
Rotacijska tijela
Priprava za 4. pisanu provjeru
Rješenja zadataka za 5. pisanu provjeru
Poliedri
Rotacijska tijela
Priprava za 4. pisanu provjeru
Rješenja zadataka za 5. pisanu provjeru
Uvod u vjerojatnosti
Uvod u vjerojatnosti
Zadaci za pripravu za Dopunski rad
Zadaci za pripravu za Dopunski rad
Primjena linearne funkcije
Priprava za pisanu provjeru
Zadaci za ponavljanje za pisanu provjeru iz cjeline Linearna funkcija
PROBNI TEST Linearna funkcija
Linearna funkcija - Usvojenost znanja i vještina
Linearna funkcija - Rješavanje problema
Postupak rješavanja testa Linearna funkcija - rješavanje problema
Ispravak Linearna funkcija usvojenost znanja i vještina
Ispravak Linearna funkcija rješavanje problema
Postupak rješavanja ispravka Linearna funkcija - rješavanje problema
Primjena linearne funkcije
Priprava za pisanu provjeru
Zadaci za ponavljanje za pisanu provjeru iz cjeline Linearna funkcija
PROBNI TEST Linearna funkcija
Linearna funkcija - Usvojenost znanja i vještina
Linearna funkcija - Rješavanje problema
Postupak rješavanja testa Linearna funkcija - rješavanje problema
Ispravak Linearna funkcija usvojenost znanja i vještina
Ispravak Linearna funkcija rješavanje problema
Postupak rješavanja ispravka Linearna funkcija - rješavanje problema
Apsolutna vrijednost realnog broja
Jednadžbe s apsolutnim vrijednostima
Nejednadžbe s apsolutnim vrijednostima
Graf funkcije apsolutno
Domaća zadaća
Apsolutna vrijednost realnog broja
Jednadžbe s apsolutnim vrijednostima
Graf funkcije apsolutno
Domaća zadaća
Graf funkcije apsolutno ►
Natrag