Osnovni pojmovi
3. Zadatci s provedenih ispita
SVI ZADATCI SU PRILAGOĐENI PROGRAMSKIM JEZICIMA PYTHON I C/C++
Python | C/C++ |
---|---|
x = (a**0.5 – b**0.5)**2 / a * b
|
x = pow((sqrt(a) – sqrt(b),2) / a * b;
|
Python | C/C++ |
---|---|
a = 35 // 5 % 2 + 19 % 5
|
a = 35 / 5 % 2 + 19 % 5;
|
B. 1
C. 4
D. 5
Python | C/C++ |
---|---|
A. z = x**2
B. z = round (x**2) C. z = int (x**2) D. z = (x**2)**0.5 |
A. z = pow(x,2);
B. z = round (pow(x,2)); C. z = trunc (pow(x,2)); D. z = sqrt (pow(x,2)); |
Python | C/C++ |
---|---|
x = 155 % 100 // 5 % 6 // 2
|
x = 155 % 100 / 5 % 6 / 2;
|
A. 0
B. 1
C. 2
D. 5
Python | C/C++ |
---|---|
(a > b) or not(b > c) and (c > a)
|
(a > b) || !(b > c) && (c > a)
|
A. asembler
B. pseudojezik
C. strojni jezik
D. viši simbolički jezik
Python | C/C++ |
---|---|
a = round(35**0.5) – int(35**0.5)
|
a = round(sqrt(35)) – trunc(sqrt(35));
|
A. 0
B. 1
C. 35
D. 70
Koji će oblik imati taj izraz zapisan u navedenim programskim jezicima?
Python | C/C++ |
---|---|
A. y = abs (x)**2 / x**0.5
B. y = x**0.5 / x**2 C. y = abs (x)**0.5 / x**2 D. y = x**2 / x**0.5 |
A. y = pow (abs (x), 2) / sqrt (x);
B. y = sqrt (x) / pow (x,2); C. y = sqrt (abs (x)) / pow (x, 2); D. y = pow (x, 2) / sqrt (x); |
Python | C/C++ |
---|---|
y = abs (x)**0.5 / x**2
|
y = sqrt (abs (x)) / pow(x, 2);
|
B.
C.
D.
Python | C/C++ |
---|---|
a = round(35**0.5) * int(35**0.5)
|
a = round(sqrt (35)) * trunc(sqrt (35));
|
B. 1
C. 30
D. 70
Python | C/C++ |
---|---|
x = (b**2-a*c)**0.5/2*a*b
|
x = sqrt(pow(b,2)- a*c)/2*a*b;
|
A = istina
B = istina
C = istina
Python | C/C++ |
---|---|
not A or not B and not C
|
! A || ! B && ! C
|
Python | C/C++ |
---|---|
A. d = r-int(r)
B. d = r-round(r) C. d = round(r)//int(r) D. d = round(r) % int(r) |
A. d = r-trunc(r);
B. d = r-round(r); C. d = round(r) / trunc(r); D. d = round(r) % trunc(r); |
14. (2012, jesenski rok, zadatak 29) Koja je vrijednost logičkoga izraza zapisanog u tablici ako su zadane sljedeće vrijednosti varijabli?
A = laž
B = laž
C = istina
Python | C/C++ |
---|---|
A and not B or not C
|
A && ! B || ! C
|
Python | C/C++ |
---|---|
A. (y // 400 == 0) or (y // 4 == 0) and (y // 100 == 0)
B. (y %4 == 0) and (y % 100 == 0) or (y % 100 <> 0) C. (y // 400 == 0) or (y // 4 == 0) and (y // 100 <> 0) D. (y % 4 == 0) and (y % 100 <> 0) or (y % 400 == 0) |
A. (y / 400 == 0) || (y / 4 == 0) && (y / 100 == 0)
B. (y % 4 == 0) && (y % 100 == 0) || (y % 100 <> 0) C. (y / 400 == 0) || (y / 4 == 0) && (y / 100 <> 0) D. (y % 4 == 0) && (y % 100 <> 0) || (y % 400 == 0) |
Python | C/C++ |
---|---|
A. (x >= 0) or (x <= 1) and (x <= 20) or (x >= 10)
B. (x <= 0) or (x >= 1) and (x >= 20) or(x <= 10) C. (x <= 0) and (x >= 1) or (x >= 20) and (x <= 10) D. (x >= 0) and (x <= 1) or (x <= 20) and (x >= 10) |
A. (x >= 0) || (x <= 1) && (x <= 20) || (x >= 10)
B. (x <= 0) || (x >= 1) && (x >= 20) || (x <= 10) C. (x <= 0) && (x >= 1) || (x >= 20) && (x <= 10) D. (x >= 0) && (x <= 1) || (x <= 20) && (x >= 10) |
Python | C/C++ |
---|---|
(a > b) or not(b < c) and (c < a)
|
(a > b) || !(b < c) && (c < a)
|
Python | C/C++ |
---|---|
A. x = a – (a * b)**2 / a * b**0.5
B. x = a – (a * b)**0.5 / a * b**2 C. x = (a – (a * b)**2) / (a * b**0.5) D. x = (a – (a * b)**0.5) / (a * b**2) |
A. x = a – pow(a * b, 2) / a * sqrt(b);
B. x = a – sqrt(a * b) / a * pow(b, 2); C. x = (a – pow(a * b, 2)) / (a * sqrt(b)); D. x = (a – sqrt(a * b)) / (a * pow(b, 2)); |
Python | C/C++ |
---|---|
A. (a > 0) and (a % 2 == 0) and (a % 3 != 0)
B. (a // 2 == 0) and (a // 3 == 0) or(a > 0) C. (a // 3 != 0) or (a // 2 == 0) or (a > 0) D. (a % 3 != 0) or (a % 2 == 0) or (a >= 0) |
A. (a > 0) && (a % 2 == 0) && (a % 3 != 0)
B. (a / 2 == 0) && (a / 3 == 0) || (a > 0) C. (a / 3 != 0) || (a / 2 == 0) || (a > 0) D. (a % 3 != 0) ||(a % 2 == 0) || (a >= 0) |
Python | C/C++ |
---|---|
(round(A / B) == A // B) and (int(A / B) == A %
B)
|
(round((float)A / B) == A / B) && (trunc((float)A / B) == A %
B)
|
Python | C/C++ |
---|---|
A. y = (r**2) – (x - p)**2)**0.5 + q
B. y = (r**2 – (x - p)**2 + q)**0.5 C. y = (r**0.5 – (x - p)**0.5)**2 + q D. y = (r**0.5 – (x - p)**0.5 + q)**2 |
A. y = sqrt(pow(r, 2) – pow(x - p, 2)) + q;
B. y = sqrt(pow(r, 2) – pow(x - p, 2) + q); C. y = pow(sqrt(r) – sqrt(x - p), 2) + q; D. y = pow(sqrt(r) – sqrt(x - p) + q, 2); |
Python | C/C++ |
---|---|
A. (a < 0) or (a >= 10) and (a <= 20)
B. ((a < 0) or (a >= 10)) and (a <= 20) C. (a < 0) and ((a >= 10) or (a <= 20)) D. (a < 0) or (a >= 10) or (a <= 20) |
A. (a < 0) || (a >= 10) && (a <= 20)
B. ((a < 0) ||(a >= 10)) && (a <= 20) C. (a < 0) && ((a >= 10) || (a <= 20)) D. (a < 0) || (a >= 10) || (a <= 20) |
Python | C/C++ |
---|---|
(A + B < C) or not(C**0.5 > A) and (B**2 != C)
|
(A + B < C) || !(sqrt(C) > A) && (pow(B, 2) <> C)
|
Python | C/C++ |
---|---|
A. (a > b) and (a < c) or (a < b) and (a > c)
B. ((a > b) or (a < c)) or ((a < b) or (a > c)) C. (a > b) and (a > c) or (a < b) and (a < c) D. ((a > b) and (a < c)) and ((a < b) and (a > c)) |
A. (a > b) && (a < c) || (a < b) && (a > c)
B. ((a > b) || (a < c)) || ((a < b) || (a > c)) C. (a > b) && (a > c) || (a < b) && (a < c) D. ((a > b) && (a < c)) && ((a < b) && (a > c)) |
Python | C/C++ |
---|---|
A. (x //6 == 0) or (x // 7 == 0) or (x // 27 != 0)
B. (x // 6 == 0) and (x // 7 == 0) and (x // 27 != 0) C. (x % 6 == 0) and (x % 7 == 0) or (x % 27 != 0) D. (x % 6 == 0) and (x % 7 == 0) and (x % 27 != 0) |
A. (x / 6 == 0) || (x / 7 == 0) || (x / 27 != 0)
B. (x / 6 == 0) && (x / 7 == 0) && (x / 27 != 0) C. (x % 6 == 0) && (x % 7 == 0) || (x % 27 != 0) D. (x % 6 == 0) && (x % 7 == 0) && (x % 27 != 0) |
Python | C/C++ |
---|---|
A. y = (x - abs(x + 2)**0.5)**2 / (4 * x)
B. y = (x - abs(x + 2)**0.5)**2 / 4 * x C. y = (x - (abs(x + 2)**0.5)**2) / (4 * x) D. y = x - sqr(abs(x + 2)**0.5)**2 / (4 * x) |
A. y = pow(x - sqrt(abs(x + 2)), 2) / (4 * x);
B. y = pow(x - sqrt(abs(x + 2)), 2) / 4 * x; C. y = (x - pow(sqrt(abs(x + 2)), 2)) / (4 * x); D. y = x - pow(sqrt(abs(x + 2)), 2) / (4 * x); |
Python | C/C++ |
---|---|
A. y = abs(x**2 – a * (b + c))**0.5
B. y = abs(x**0.5 – a * (b + c))**2 C. y = abs((x**2 – a * (b + c))**0.5) D. y = (abs(x**2) – a * (b + c))**0.5 |
A. y = sqrt(abs(pow(x, 2) – a * (b + c)));
B. y = pow(abs(sqrt(x) – a * (b + c)), 2); C. y = abs(sqrt(pow(x, 2) – a * (b + c))); D. y = sqrt(abs(pow(x, 2)) – a * (b + c)); |
Python | C/C++ |
---|---|
A. a > 0 and a < 10 or a % 9 == 0
B. a > 0 or a < 10 and I a % 9 == 0 C. a > 0 or a < 10 or a % 9 == 0 D. a > 0 and a < 10 and a % 9 == 0 |
A. a > 0 && a < 10 || a % 9 == 0
B. a > 0 || a < 10 && a % 9 == 0 C. a > 0 || a < 10 || a % 9 == 0 D. a > 0 && a < 10 && a % 9 == 0 |
Python | C/C++ |
---|---|
a + b > c and a + c > b and b + c > a
|
a + b > c && a + c > b && b + c > a
|
30. (2016., jesenski rok, zadatak 16) Koja programska naredba u programskom jeziku može zamijeniti sljedeći matematički izraz?

Python | C/C++ |
---|---|
A. y = (a**2 + (b**2)**2)**0.5 + c
B. y = (a**0.5 + (b**0.5)**0.5)**2 + c C. y = (a**2 + (b**2)**2) + c)**0.5 D. y = (a**2 + (b**0.5 + c)**2)**2 |
A. y = sqrt(pow(a, 2) + pow(pow(b, 2), 2)) + c;
B. y = pow(sqrt(a) + sqrt(sqrt(b))) + c; C. y = sqrt(pow(a, 2) + pow(pow(b, 2), 2) + c); D. y = pow(pow(a, 2) + pow(sqrt(b) + c, 2); |
31. (2016., jesenski rok, zadatak 17) Koji će od sljedećih logičkih izraza biti istinit samo za a = 7?
Python | C/C++ |
---|---|
A. a > 0 or a < 10 or a % 5 == 2 and a % 2 == 1
B. a > 0 and a < 10 and a % 5 == 2 and a % 2 == 1 C. a > 0 and a < 10 or a % 7 == 0 D. a > 0 or a < 10 and a % 7 == 0 |
A. a > 0 || a < 10 || a % 5 == 2 && a % 2 == 1;
B. a > 0 && a < 10 && a % 5 == 2 && a % 2 == 1; C. a > 0 && a < 10 || a % 7 == 0; D. a > 0 || a < 10 && a % 7 == 0; |
32. (2016., jesenski rok, zadatak 29) Koja je vrijednost izraza u tablici ako su zadane vrijednosti varijabla a = 3 i b = 1?
33. (2017., ljetni rok, zadatak 15) Koja od navedenih tvrdnji opisuje izraz
Python | C/C++ |
---|---|
(a + b) / 2 == (a * b)**0.5 or b == 1 and a ==1
|
(float)(a + b) / 2 == sqrt(a * b) || b == 1 && a == 1 |
33. (2017., ljetni rok, zadatak 15) Koja od navedenih tvrdnji opisuje izraz
Python | C/C++ |
---|---|
(t % 5 == 0) and (t % 2 == 0) and (t // 10 == 3)
|
(t % 5 == 0) && (t % 2 == 0) && (t / 10 == 3)
|
A. t = 30
B. t ne može biti niti jedan broj
C. t je bilo koji prirodan broj djeljiv s 30
D. t je bilo koji dvoznamenkasti prirodan broj djeljiv s 10
34. (2017., ljetni rok, zadatak 24) Izraz u tablici zapisan je u programskim jezicima. Napišite zadani matematički izraz u obliku razlomka.
Python | C/C++ |
---|---|
y = (x + z**0.5) / z * 3 |
y = (x + sqrt(z)) / z * 3; |
35. (2017., jesenski rok, zadatak 15) Koja od navedenih tvrdnji opisuje izraz
Python | C/C++ |
---|---|
(t // 100 == 2) and (t % 100 == 0) or (t == 1000)
|
(t / 100 == 2) && (t % 100 == 0) || (t == 1000)
|
A. t = 200
B. t = 1000
C. t = 200 ili t = 1000
D. t je bilo koji prirodan broj djeljiv s 100
36. (2017., jesenski rok, zadatak 24) Izraz u tablici zapisan je u programskim jezicima. Napištite zadani matematički izraz u obliku razlomka.
Python | C/C++ |
---|---|
y = x + z**0.5 / 3 * x |
y = x + sqrt(z) / 3 * x; |
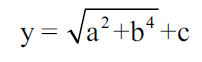
Python | C/C++ |
---|---|
c = (a + b) + (a - b)**0.5 / (2 * a + b)
|
c = (a + b) + sqrt(a - b)/(2 * a + b);
|

38. (2018., ljetni rok, zadatak 16) Koji matematički interval odgovara zadanomu logičkom izrazu?
Python | C/C++ |
---|---|
(x > 2) and (x > 5) and (x < 10) and (x > 0) |
(x > 2) && (x > 5) && (x < 10) && (x > 0) |
A. x > 0
B. x < 10
C. 0 < x < 10
D. 5 < x < 10
Python | C/C++ |
---|---|
g = ((e + f)**0.5 * (e - f) / (e + f))**0.5 |
g = sqrt(sqrt(e + f) * (e - f) / (e + f)); |

40. (2018., jesenski rok, zadatak 16) Koji matematički interval odgovara zadanomu logičkom izrazu?
Python | C/C++ |
---|---|
(x > 10) and (x > 5) or (x > 2) or (x > 7) |
(x > 10) && (x > 5) || (x > 2) || (x > 7) |
A. x > 2
B. x > 7
C. 2 < x < 5
D. 2 < x < 10
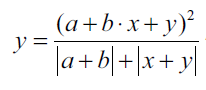
41. (2019., ljetni rok, zadatak 15) Koja naredba u programskom jeziku može zamijeniti zadani matematički izraz
?

Python | C/C++ |
---|---|
A. y = (a + b * x + y)**2 / abs(a + b + x + y) B. y = (a + b + x + y)**2 / abs(a + b) + abs(x + y) C. y = (a + b + x + y)**2 / (abs(a + b) + abs(x + y)) D. y = (a + b * x + y)**2 / (abs(a + b) + abs(x + y)) |
A. y = pow(a + b * x + y, 2) / abs(a + b + x + y); B. y = pow(a + b + x + y, 2) / abs(a + b) + abs(x + y) C. y = pow(a + b + x + y, 2) / (abs(a + b) + abs(x + y)) D. y = pow(a + b * x + y, 2) / (abs(a + b) + abs(x + y)) |
42. (2019., ljetni rok, zadatak 16) Manuela obično svaku večer zove baku da provjeri treba li još što donijeti. Manuela zna da se baka ljuti ako ju nazove za vrijeme njezine omiljene serije koja traje između 20.05 i 21.20. Koji će od zadanih uvjeta biti istinit ako je trenutačno vrijeme koje je zadano u satima (h) i minutama (m) vrijeme kada traje bakina omiljena serija?
Python | C/C++ |
---|---|
A. h == 20 or h == 21 and m >= 5 or m <= 20 B. h == 20 and m >= 5 and h ==21 and m <=20 C. h * 60 + m >= 20 * 60 + 5 and h * 60 + 3 <= 21 * 60 + 20 D. h * 60 + m >= 20 * 60 + 5 or h * 60 + m <= 21 * 60 + 20 |
A. h == 20 || h == 21 && m >= 5 || m <= 20 B. h == 20 && m >= 5 && h ==21 && m <=20 C. h * 60 + m >= 20 * 60 + 5 && h * 60 + 3 <= 21 * 60 + 20 D. h * 60 + m >= 20 * 60 + 5 || r h * 60 + m <= 21 * 60 + 20 |
43. (2019., ljetni rok, zadatak 24) Koja je vrijednost izraza u tablici ako su a = 9 i b = 20?
44. (2019., jesenski rok, zadatak 15) Koja programska naredba može zamijeniti zadani matematički izraz
?
Python | C/C++ |
---|---|
(a // 10 > 0 or b // 10 > 0) and (a % 10 > 0 or b % 10 > 0) |
(a / 10 > 0 || b / 10 > 0) && (a % 10 > 0 || b % 10 > 0) |
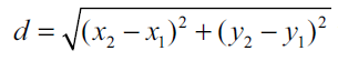
44. (2019., jesenski rok, zadatak 15) Koja programska naredba može zamijeniti zadani matematički izraz

Python | C/C++ |
---|---|
A. d = ((x2 - x1)**2 + (y2 – y1)**2)**0.5 B. d = ((x2 - x1)**0.5 + (y2 – y1)**0.5)**2 C. d = ((x2 - x1)**2)**0.5 + ((y2 – y1)**2)**0.5 D. d = ((x2 - x1)**0.5)**2 + ((y2 – y1)**0.5)**2 |
A. d = sqrt(pow(x2 - x1, 2) + pow(y2 – y1, 2)); B. d = pow(sqrt(x2 - x1) + sqrt(y2 – y1), 2); C. d = sqrt(pow(x2 - x1, 2)) + sqrt(pow(y2 – y1, 2)); D. d = pow(sqrt(x2 - x1), 2) + pow(sqrt(y2 – y1), 2); |
45. (2019., jesenski rok, zadatak 16) Ivani je zanimljivo promatrati registarske oznake automobila te su joj posebno zanimljive oznake koje sadrže broj djeljiv s brojem 3. Koji će od zadanih uvjeta biti istinit samo za četveroznamenkaste brojeve a djeljive s brojem 3?
Python | C/C++ |
---|---|
A. a % 1000 >= 1000 and a < 10000 and a // 3 == 0 B. a // 1000 < 10 and a // 1000 > 0 and a // 3 == 0 C. a >= 1000 and a % 1000 < 1000 and a % 3 == 0 D. a // 1000 > 0 and a < 10000 and a % 3 == 0 |
A. a % 1000 >= 1000 && a < 10000 && a / 3 == 0 B. a / 1000 < 10 && a / 1000 > 0 && a / 3 == 0 C. a >= 1000 && a % 1000 < 1000 && a % 3 == 0 D. a / 1000 > 0 && a < 10000 && a % 3 == 0 |
46. (2019., jesenski rok, zadatak 24) Koja je vrijednost sljedećega izraza ako su zadane vrijednosti varijabla a = 5, b = 6 i c = 7 ?
Python | C/C++ |
---|---|
(a + b) / 2 > c or (a + c) / 2 > b or (b + c) / 2 > a |
(a + b) / 2 > c || (a + c) / 2 > b || (b + c) / 2 > a |
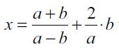
47. (2020, ljetni rok, zadatak 16) Koji je izraz ekvivalentan zadanomu matematičkom izrazu
?

Python | C/C++ |
---|---|
A. x = (a + b) / (a - b) + 2 / a * b B. x = (a + b) / a – b + 2 / a * b C. x = (a + b) / a – b + 2 / (a * b) D. x = (a + b) / (a - b) + 2 / (a * b) |
A. x = (a + b) / (a - b) + 2 / a * b; B. x = (a + b) / a – b + 2 / a * b; C. x = (a + b) / a – b + 2 / (a * b); D. x = (a + b) / (a - b) + 2 / (a * b); |
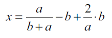
48. (2020, jesenski rok, zadatak 16) Koji je izraz ekvivalentan zadanomu matematičkom izrazu
?

Python | C/C++ |
---|---|
A. x = a / (b + a) – b + 2 / a * b B. x = a / b + a - b + 2 / a * b C. x = a / (b + a) – b + 2 / (a * b) D. x = a / b + a – b + 2 / (a * b) |
A. x = a / (b + a) – b + 2 / a * b; B. x = a / b + a - b + 2 / a * b; C. x = a / (b + a) – b + 2 / (a * b); D. x = a / b + a – b + 2 / (a * b); |
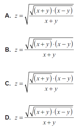
Python | C/C++ |
---|---|
z = ((x + y)**0.5 * (x - y))**0.5 / (x + y) |
z = sqrt(sqrt(x + y) * (x - y)) / (x + y); |

50. (2021., ljetni rok, zadatak 16) Koji matematički interval odgovara zadanomu logičkom izrazu?
Python | C/C++ |
---|---|
(x > 3) or (x < 10) and (x < 13) and (x > 7) |
(x > 3) || (x < 10) && (x < 13) && (x > 7) |
A. x > 3
B. x > 7
C. 3 < x < 7
D. 3 < x < 10
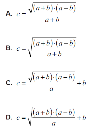
Python | C/C++ |
---|---|
c = ((a + b) * (a - b))**0.5 / a + b |
c = sqrt((a + b) * (a - b)) / a + b; |

52. (2021., jesenski rok, zadatak 16) Koji matematički interval odgovara zadanomu logičkom izrazu?
Python | C/C++ |
---|---|
(x > 0) and (x < 7) or (x > 2) and (x < 10) |
(x > 0) && (x < 7) || (x > 2) && (x < 10) |
A. x < 10
B. 0 < x < 10
C. 7 < x < 10
D. x > 0